“增额终身寿”,再不上车就赶不上最后这波红利了!
增额终身寿,是目前各大保险公司卖的比较火的产品,不知道你上车了吗?
如果你还在犹豫中,可以看看该文。
01 如何选择缴费期间?
目前,市面上的增额终身寿,大致有几个缴费期间:趸交、3年交、5年交、10年交、20年交、30年交。

1 单利
银行的存款利率,一般都是指单利。就上面的例子来讲,张三在30岁,趸交30万和分5年期存入30万,不同缴存年限,对应的单利是不一致的:

缴存年限越长,对应的单利越高。这里,就体现了年金类保险产品的特点,长期稳健的持有,在单利上,绝对跑赢银行了。
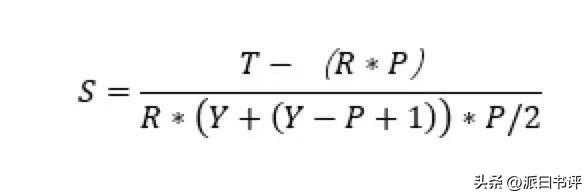
保险产品类的单利的计算公式如下:

S为单利,T为某一时点的总收益(到某一年的现金+领取),R为单期保费,P为缴费期间,比如5年交,P=5,Y为总收益对应的保单年度。
银行储蓄的单利计算公式:单利=本金*(1+利率*年限),
2 复利
保险公司的保险产品的利率,一般情况下均指复利。从上表来看,复利的值比较恒定,在3.9%-4%之间。
复利的利息计入本金,利滚利。
复利=本金*(1+利率)^年限。
比如:张三一次性存入10万元,年利率为4%,30年后,单利和复利的本利和将分别为:22万和32.4万。

从上图可以看出,在前10年,复利和单利对应的本利和并没有太大的差别,但随时时间的推移,越往后差距越大。这就是复利的力量。
3 IRR(内部收益率)
货币是有时间价值的,今年的10万和明年的10万价值不一样,IRR就是这样一个比率,是在考虑了时间价值的情况下的真实的投资收益水平。
回到最开始的表格,同样是投入30万元,但因为投入期间不一样,也就导致了20个保单年度后,得到的IRR不一致。很显然,趸交的IRR要高。当然了,就是不计算IRR,单纯从不同的保单年度对应的现金价值上看,也能看出来,趸交对应的现价要高。
那计算IRR的作用是啥?
主要是比对在相同条件下(比如缴费期间一致,缴费总额一致的前提下),不同年金类保险产品之间的IRR值。IRR值越高,说明获利能力越强。
举个例子:张三在以下两个产品中犹豫不决,投入都是3年期30万的保费,但因为每年领取的金额与总金额不一致,导致两个产品对应的IRR也不一致。如果你是张三,你会选择哪类产品呢?是选择IRR高且每年领取金额相同的产品A呢?还是选择总领取金额高但前期领取金额低的产品B呢?

不管选择哪个,IRR值都照出了保单的价值,这就是计算IRR的作用。至于选择哪个产品,当然是看个人需求了。
知道了单利、复利和IRR,你就能买增额终身寿了吗?
02 你动用的是可以封闭10年的闲钱吗?
买保险产品,有一个原则就是:先保障后规划。
无论是增额终身寿,还是年金,都是属于规划类的保险产品。如果你在没做好基础保障前,就买了规划类保险产品,很有可能后悔。
为什么这样说?
什么是保障类产品,即寿险、健康险、意外险,它们负责的是死亡、疾病和意外。
假设我们没有保障类保险,而直接买了规划类保险,会存在什么问题呢?
当死亡、疾病和意外其中任何一项风险来临的时候,你没有工具去转嫁这些风险带来的财务损失,怎么办?如果你恰好没有更多的储蓄时,势必要动用这笔规划类保单的现金价值了,要么退保,要么进行保单贷款。如果你的这个保单不到5年,看看最开始的表格,你退保能取出多少钱吧。保单贷款最多为现价的80%。
也就是说,你放进这个保险账户中的钱,一定要是闲钱!这笔闲钱凡是在10年内要取出来的,你的理财动作就全白费了。
规划类保险产品,走的是长线,在一定长的时间里,才会有比较可观的收益。因此,在选择此类保险产品时,一定要问问自己:我能够长期持有吗?
有个客户,他存了2万元分10年缴存的增额终身寿险,在第4年时,他准备买房,首付差一些,于是想退保,然后用退保的钱来垫首付的缺。

你来看看,退保划算吗?第4年时已经交了8万元,如果这时退保,只能退6万。
买保险产品,仅是理财过程中的一小部分。理财是个人或家庭一生的现金流和风险管理,它不仅仅是赚钱、存钱和让钱生钱,更重要的是创造和驾驭金钱的能力。理财包括了目标设定、职业规划和人生设计等诸多内容。
为什么我这里强调目标设定和人生设计?我就是想说,买房是大事件,是需要提前规划的事情,如果结婚、买房等大事件都能提前规划好了,也就不存在原本的“闲钱”当“急用钱”了。
所以,在疫情开放的这几年,经济形势仍旧扑朔迷离的时期,坚守自己理财的原则,规划好自己的未来,守好自己的钱袋子!
创业项目群,学习操作 18个小项目,添加 微信:790838556 备注:小项目!
如若转载,请注明出处:https://www.zoodoho.com/91638.html
